Bài toán này thường yêu cầu học sinh vận dụng các kiến thức về hàm số, đạo hàm, hoặc các khái niệm khác đã được học để tìm ra lời giải chính xác.
Tại giaibaitoan.com, chúng tôi cung cấp lời giải chi tiết, dễ hiểu, giúp bạn nắm vững kiến thức và tự tin giải các bài toán tương tự.
Tính đạo hàm của mỗi hàm số sau
\(y = {{2x + 3} \over {{x^2} - 5x + 5}}\)
Phương pháp giải:
Đạo hàm của thương \(\left( {\frac{u}{v}} \right)' = \frac{{u'v - uv'}}{{{v^2}}}\)
Lời giải chi tiết:

\(y' = {{ - 2{x^2} - 6x + 25} \over {{{\left( {{x^2} - 5x + 5} \right)}^2}}}\)
\(y = {1 \over {{{\left( {{x^2} - x + 1} \right)}^5}}}\)
Lời giải chi tiết:

\(y' = {{ - 5\left( {2x - 1} \right)} \over {{{\left( {{x^2} - x + 1} \right)}^6}}}\)
\(y = {x^2} + x\sqrt x + 1\)
Lời giải chi tiết:

\(y' = 2x + {3 \over 2}\sqrt x \)
\(y = \left( {x + 1} \right){\left( {x + 2} \right)^2}{\left( {x + 3} \right)^3}\)
Lời giải chi tiết:

\(\eqalign{ & y' = 2\left( {x + 2} \right){\left( {x + 3} \right)^2}\left( {3{x^2} + 11x + 9} \right) \cr} \)
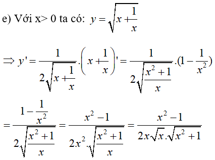
\(y = \sqrt {{{{x^2} + 1} \over x}} \)
Phương pháp giải:
Sử dụng công thức \(\left( {\sqrt u } \right)' = \frac{{u'}}{{2\sqrt u }}\)
Lời giải chi tiết:

Bài toán Câu 23 trang 205 trong sách giáo khoa Đại số và Giải tích 11 Nâng cao thường thuộc dạng bài tập ứng dụng thực tế, đòi hỏi học sinh phải hiểu rõ lý thuyết và kỹ năng giải toán. Để giúp các em học sinh giải quyết bài toán này một cách hiệu quả, chúng ta sẽ cùng nhau phân tích chi tiết đề bài, các kiến thức liên quan và đưa ra lời giải hoàn chỉnh.
Trước khi đi vào giải bài, chúng ta cần đọc kỹ đề bài và xác định rõ yêu cầu của bài toán. Thông thường, đề bài sẽ cung cấp một số thông tin về một hàm số, một hình học hoặc một tình huống thực tế, và yêu cầu chúng ta tìm một giá trị, chứng minh một đẳng thức hoặc giải một phương trình.
Việc phân tích đề bài giúp chúng ta xác định được các yếu tố quan trọng, các mối quan hệ giữa các yếu tố đó và lựa chọn phương pháp giải phù hợp.
Để giải Câu 23 trang 205, chúng ta cần nắm vững các kiến thức sau:
Dưới đây là lời giải chi tiết cho Câu 23 trang 205 SGK Đại số và Giải tích 11 Nâng cao (lưu ý: lời giải cụ thể sẽ phụ thuộc vào nội dung từng đề bài, đây chỉ là ví dụ minh họa):
Ví dụ: Giả sử đề bài yêu cầu tìm đạo hàm của hàm số f(x) = x2 + 2x - 1.
Vậy, đạo hàm của hàm số f(x) = x2 + 2x - 1 là f'(x) = 2x + 2.
Sau khi đã giải xong Câu 23 trang 205, chúng ta có thể mở rộng kiến thức bằng cách giải các bài tập tương tự. Điều này giúp chúng ta củng cố kiến thức và rèn luyện kỹ năng giải toán.
Một số bài tập tương tự có thể là:
Câu 23 trang 205 SGK Đại số và Giải tích 11 Nâng cao là một bài toán quan trọng, giúp chúng ta hiểu rõ hơn về các kiến thức cơ bản của chương trình học. Bằng cách phân tích đề bài, nắm vững kiến thức liên quan và áp dụng các phương pháp giải phù hợp, chúng ta có thể giải quyết bài toán này một cách hiệu quả.
Hy vọng rằng, với lời giải chi tiết và các hướng dẫn trên, các em học sinh sẽ tự tin hơn trong việc học tập và giải toán.