Bài toán này thường yêu cầu học sinh vận dụng các kiến thức về hàm số, đạo hàm, hoặc các chủ đề khác đã được học để tìm ra lời giải chính xác.
Tại giaibaitoan.com, chúng tôi cung cấp lời giải chi tiết, dễ hiểu, giúp bạn nắm vững kiến thức và tự tin giải các bài toán tương tự.
Chứng minh rằng phương trình
Đề bài
Chứng minh rằng phương trình \({x^3} + a{x^2} + bx + c = 0\) luôn có ít nhất một nghiệm.
Lời giải chi tiết
Đặt \(f(x)={x^3} + a{x^2} + bx + c = 0\)

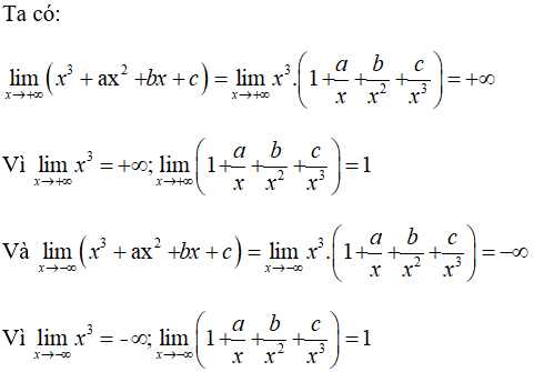
Do \(\mathop {\lim }\limits_{x \to - \infty } f\left( x \right) = - \infty \) nên có số \(α < 0\) sao cho \(f(α) < 0\).
Do \(\mathop {\lim }\limits_{x \to + \infty } f\left( x \right) = + \infty \) nên có số \(β > 0\) sao cho \(f(β) > 0\).
Hàm số \(f\left( x \right) = {x^3} + a{x^2} + bx + c\) liên tục trên \(\mathbb R\) chứa đoạn \(\left[ {\alpha ;\beta } \right]\) nên theo định lý về giá trị trung gian của hàm số liên tục, tồn tại số \(d \in \left[ {\alpha ;\beta } \right]\) sao cho \(f(d) = 0\). Đó chính là nghiệm của phương trình \(f(x) = 0\).
Bài toán Câu 20 trang 226 trong sách giáo khoa Đại số và Giải tích 11 Nâng cao thường thuộc dạng bài tập vận dụng kiến thức đã học vào giải quyết các vấn đề thực tế. Để giải quyết bài toán này một cách hiệu quả, học sinh cần nắm vững các khái niệm cơ bản về hàm số, đạo hàm, giới hạn và các phép biến đổi đại số.
Trước khi đi vào giải chi tiết, chúng ta cùng xem lại đề bài của Câu 20 trang 226 SGK Đại số và Giải tích 11 Nâng cao. (Ở đây cần chèn đề bài cụ thể vào)
Để giải quyết bài toán này, chúng ta cần xác định rõ các yếu tố sau:
Dưới đây là lời giải chi tiết của Câu 20 trang 226 SGK Đại số và Giải tích 11 Nâng cao:
Để giúp bạn hiểu rõ hơn về cách giải bài toán này, chúng ta sẽ xem xét một ví dụ minh họa:
(Chèn ví dụ minh họa cụ thể vào)
Sau khi đã nắm vững cách giải Câu 20 trang 226 SGK Đại số và Giải tích 11 Nâng cao, bạn có thể thử sức với các bài tập tương tự để củng cố kiến thức. Dưới đây là một số bài tập gợi ý:
Khi giải các bài toán về hàm số, đạo hàm, bạn cần lưu ý những điều sau:
Câu 20 trang 226 SGK Đại số và Giải tích 11 Nâng cao là một bài toán quan trọng giúp bạn rèn luyện kỹ năng giải toán và củng cố kiến thức về hàm số, đạo hàm. Hy vọng với lời giải chi tiết và các ví dụ minh họa trên, bạn đã hiểu rõ cách giải bài toán này và có thể tự tin giải các bài toán tương tự.
| Tiêu chí | Mô tả |
|---|---|
| Hàm số | (Mô tả hàm số liên quan đến bài toán) |
| Đạo hàm | (Công thức đạo hàm của hàm số) |
| Nghiệm | (Nghiệm của bài toán) |
| Bảng tóm tắt các yếu tố chính của bài toán | |