Bài toán này yêu cầu học sinh vận dụng kiến thức về hàm số, đạo hàm để giải quyết.
Tại giaibaitoan.com, chúng tôi cung cấp lời giải chi tiết, dễ hiểu, giúp bạn nắm vững kiến thức và tự tin giải các bài tập tương tự.
Tìm đạo hàm của mỗi hàm số sau :
\(\displaystyle y = {{\sin x} \over x} + {x \over {{\mathop{\rm sinx}\nolimits} }}\)
Phương pháp giải:
Sử dụng công thức đạo hàm hàm hợp và các công thức tính đạo hàm các hàm số sơ cấp.
Giải chi tiết:
\(y' = \dfrac{{\left( {\sin x} \right)'.x - \sin x.\left( {x'} \right)}}{{{x^2}}}\) \( + \dfrac{{x'\sin x - x.\left( {\sin x} \right)'}}{{{{\sin }^2}x}}\)
\(\eqalign{ & = {{x\cos x - \sin x} \over {{x^2}}} + {{\sin x - x\cos x} \over {{{\sin }^2}x}} \cr & = \left( {x\cos x - {\mathop{\rm sinx}\nolimits} } \right)\left( {{1 \over {{x^2}}} - {1 \over {{{\sin }^2}x}}} \right) \cr} \)
\(\displaystyle y = {{{{\sin }^2}x} \over {1 + \tan 2x}}\)
Phương pháp giải:
Sử dụng công thức đạo hàm hàm hợp và các công thức tính đạo hàm các hàm số sơ cấp.
Giải chi tiết:

\(y = \tan \left( {\sin x} \right)\)
Phương pháp giải:
Sử dụng công thức đạo hàm hàm hợp và các công thức tính đạo hàm các hàm số sơ cấp.
Giải chi tiết:
\(y' = \left( {\sin x} \right)'.\dfrac{1}{{{{\cos }^2}\left( {\sin x} \right)}}\) \( \displaystyle = {{\cos x} \over {{{\cos }^2}\left( {\sin x} \right)}}\)
\(y = x\cot \left( {{x^2} - 1} \right)\)
Phương pháp giải:
Sử dụng công thức đạo hàm hàm hợp và các công thức tính đạo hàm các hàm số sơ cấp.
Giải chi tiết:
\(y' = x'.\cot \left( {{x^2} - 1} \right) + x.\left[ {\cot \left( {{x^2} - 1} \right)} \right]'\) \( = \cot \left( {{x^2} - 1} \right) + x.\left( {{x^2} - 1} \right)'.\dfrac{{ - 1}}{{{{\sin }^2}\left( {{x^2} - 1} \right)}}\)
\(\eqalign{ & = \cot \left( {{x^2} - 1} \right) + x.{{ - 2x} \over {{{\sin }^2}\left( {{x^2} - 1} \right)}} \cr & = \cot \left( {{x^2} - 1} \right) - {{2{x^2}} \over {{{\sin }^2}\left( {{x^2} - 1} \right)}} \cr} \)
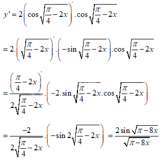
\(\displaystyle y = {\cos ^2}\sqrt {{\pi \over 4} - 2x} \)
Phương pháp giải:
Sử dụng công thức đạo hàm hàm hợp và các công thức tính đạo hàm các hàm số sơ cấp.
Giải chi tiết:

\(y = x\sqrt {\sin 3x} \)
Phương pháp giải:
Sử dụng công thức đạo hàm hàm hợp và các công thức tính đạo hàm các hàm số sơ cấp.
Giải chi tiết:
\(y' = x'\sqrt {\sin 3x} + x.\left( {\sqrt {\sin 3x} } \right)'\) \( = \sqrt {\sin 3x} + x.\dfrac{{\left( {\sin 3x} \right)'}}{{2\sqrt {\sin 3x} }}\) \( \displaystyle = \sqrt {\sin 3x} + x.{{3\cos 3x} \over {2\sqrt {\sin 3x} }} \) \(\displaystyle = {{2\sin 3x + 3x\cos 3x} \over {2\sqrt {\sin 3x} }}\)
Bài toán Câu 33 trang 212 SGK Đại số và Giải tích 11 Nâng cao thường xoay quanh việc xét tính đơn điệu của hàm số. Để giải quyết bài toán này một cách hiệu quả, học sinh cần nắm vững các kiến thức cơ bản về đạo hàm và ứng dụng của đạo hàm trong việc khảo sát hàm số.
(Đề bài cụ thể sẽ được chèn vào đây. Ví dụ: Xét hàm số f(x) = x^3 - 3x^2 + 2. Hãy xét tính đơn điệu của hàm số trên các khoảng (-∞; 0), (0; 2), (2; +∞).)
Để xét tính đơn điệu của hàm số, ta thực hiện các bước sau:
(Lời giải chi tiết sẽ được trình bày ở đây, bao gồm các bước tính toán, lập luận và kết luận. Ví dụ:)
Bước 1: Tính đạo hàm
f'(x) = 3x^2 - 6x
Bước 2: Tìm điểm tới hạn
3x^2 - 6x = 0 ⇔ 3x(x - 2) = 0 ⇔ x = 0 hoặc x = 2
Bước 3: Lập bảng xét dấu f'(x)
| x | -∞ | 0 | 2 | +∞ |
|---|---|---|---|---|
| f'(x) | + | - | + | |
| f(x) | Đồng biến | Nghịch biến | Đồng biến |
Bước 4: Kết luận
Hàm số f(x) đồng biến trên các khoảng (-∞; 0) và (2; +∞), nghịch biến trên khoảng (0; 2).
Để hiểu sâu hơn về tính đơn điệu của hàm số, bạn có thể tham khảo các bài tập tương tự sau:
Khi giải các bài toán về tính đơn điệu, cần lưu ý:
Hy vọng với lời giải chi tiết và các lưu ý trên, bạn đã hiểu rõ cách giải Câu 33 trang 212 SGK Đại số và Giải tích 11 Nâng cao. Chúc bạn học tốt!