Bài toán này yêu cầu học sinh vận dụng kiến thức về hàm số, đạo hàm để giải quyết.
Tại giaibaitoan.com, chúng tôi cung cấp lời giải chi tiết, dễ hiểu, giúp bạn nắm vững kiến thức và tự tin giải các bài tập tương tự.
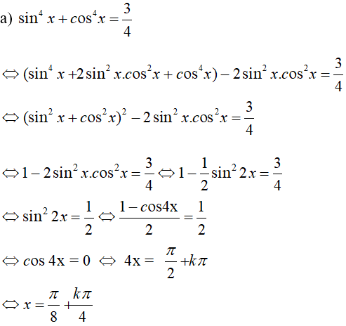
Giải các phương trình :
\({\sin ^4}x + {\cos ^4}x = {3 \over 4}\)
Lời giải chi tiết:

\({\sin ^2}2x - {\sin ^2}x = {\sin ^2}{\pi \over 4}\)
Lời giải chi tiết:
\(\eqalign{ & {\sin ^2}2x - {\sin ^2}x = {\sin ^2}{\pi \over 4} \cr & \Leftrightarrow 4{\sin ^2}x{\cos ^2}x - {\sin ^2}x = {1 \over 2} \cr & \Leftrightarrow 8{\sin ^2}x\left( {1 - {{\sin }^2}x} \right) - 2{\sin ^2}x = 1 \cr & \Leftrightarrow 8{\sin ^4}x - 6{\sin ^2}x + 1 = 0 \cr & \Leftrightarrow \left[ {\matrix{ {{{\sin }^2}x = {1 \over 2}} \cr {{{\sin }^2}x = {1 \over 4}} \cr } } \right. \Leftrightarrow \left[ {\matrix{ {{{1 - \cos 2x} \over 2} = {1 \over 2}} \cr {{{1 - \cos 2x} \over 2} = {1 \over 4}} \cr } } \right. \cr & \Leftrightarrow \left[ {\matrix{ {\cos 2x = 0} \cr {\cos 2x = {1 \over 2}} \cr } } \right. \cr} \)
\( \Leftrightarrow \left[ \begin{array}{l}2x = \frac{\pi }{2} + k\pi \\2x = \pm \frac{\pi }{3} + k2\pi \end{array} \right. \) \(\Leftrightarrow \left[ \begin{array}{l}x = \frac{\pi }{4} + \frac{{k\pi }}{2}\\x = \pm \frac{\pi }{6} + k\pi \end{array} \right.\)
\(\cos x\cos 2x = \cos 3x\)
Lời giải chi tiết:
\(\eqalign{ & \cos x\cos 2x = \cos 3x \cr & \Leftrightarrow {1 \over 2}\left( {\cos 3x + \cos x} \right) = \cos 3x \cr & \Leftrightarrow \cos 3x = \cos x \cr & \Leftrightarrow \left[ {\matrix{ {3x = x + k2\pi } \cr {3x = - x + k2\pi } \cr } } \right. \Leftrightarrow \left[ {\matrix{ {x = k\pi } \cr {x = k{\pi \over 2}} \cr } } \right.\cr& \Leftrightarrow x = k{\pi \over 2},k \in\mathbb Z \cr} \)
\(\tan 2x - \sin 2x + \cos 2x - 1 = 0\)
Lời giải chi tiết:
Điều kiện: \(\cos 2x \ne0\)
Ta có: \(\tan 2x = \dfrac{{\sin 2x}}{{\cos 2x}} \) \(\Rightarrow \sin 2x = \tan 2x\cos 2x\)
\(\eqalign{ & \tan 2x - \sin 2x + \cos 2x - 1 = 0 \cr & \Leftrightarrow \tan 2x - \tan 2x\cos 2x + \cos 2x - 1 = 0\cr & \Leftrightarrow \tan 2x\left( {1 - \cos 2x} \right) - \left( {1 - \cos 2x} \right) = 0 \cr & \Leftrightarrow \left( {1 - \cos 2x} \right)\left( {\tan 2x - 1} \right) = 0 \cr & \Leftrightarrow \left[ {\matrix{ {\tan 2x = 1} \cr {\cos 2x = 1} \cr } } \right. \cr} \)
\( \Leftrightarrow \left[ \begin{array}{l}2x = \dfrac{\pi }{4} + k\pi \\2x = k2\pi \end{array} \right.\)
\( \Leftrightarrow \left[ \begin{array}{l}x = \dfrac{\pi }{8} + \dfrac{{k\pi }}{2}\\x = k\pi \end{array} \right.,k \in Z\)
Câu 4 trang 223 SGK Đại số và Giải tích 11 Nâng cao thuộc chương trình học lớp 11, tập trung vào việc ứng dụng đạo hàm để khảo sát hàm số. Bài toán này thường yêu cầu học sinh xác định các điểm cực trị, khoảng đồng biến, nghịch biến và vẽ đồ thị hàm số. Dưới đây là lời giải chi tiết:
Cho hàm số y = f(x) = x3 - 3x2 + 2. Hãy:
Để tìm các điểm cực trị, ta thực hiện các bước sau:
| x | -∞ | 0 | 2 | +∞ |
|---|---|---|---|---|
| f'(x) | + | - | + | |
| f(x) | Đồng biến | Nghịch biến | Đồng biến |
Dựa vào bảng xét dấu f'(x) ở trên, ta có:
Để vẽ đồ thị hàm số, ta cần xác định:
Dựa vào các thông tin trên, ta có thể vẽ được đồ thị hàm số y = x3 - 3x2 + 2.
Bài toán khảo sát hàm số bằng đạo hàm có nhiều ứng dụng trong thực tế, như:
Hy vọng lời giải chi tiết này sẽ giúp bạn hiểu rõ hơn về Câu 4 trang 223 SGK Đại số và Giải tích 11 Nâng cao. Chúc bạn học tốt!