Bạn đang gặp khó khăn với bài tập Thử tài bạn trang 74 trong Tài liệu dạy – học Toán 7 tập 2? Đừng lo lắng, giaibaitoan.com sẽ cung cấp lời giải chi tiết, dễ hiểu, giúp bạn nắm vững kiến thức và tự tin giải các bài tập tương tự.
Chúng tôi hiểu rằng việc học toán đôi khi có thể gây khó khăn, đặc biệt là với những bài tập đòi hỏi tư duy và vận dụng kiến thức. Vì vậy, chúng tôi luôn cố gắng mang đến những giải pháp học tập tốt nhất, giúp bạn học toán một cách hiệu quả và thú vị.
Giải bài tập Cho hai đa thức
Đề bài
Cho hai đa thức \(A\left( x \right) = 3{x^2} - 4x + 2\) và \(B\left( x \right) = 6 - 2{x^2} + 5x\)
Hãy thực hiện phép tính A(x) + B(y)
Lời giải chi tiết
* Cách 1:
Thực hiện như cộng hai đa thức
A(x) + B(x) = (3x2 – 4x + 2) + (6 – 2x2 + 5x)
= 3x2 – 4x + 2 + 6 – 2x2 + 5x (Bỏ dấu ngoặc)
= (3x2 – 2x2) +(-4x + 5x) +(2 + 6) (Nhóm các cặp hạng tử đồng dạng)
= x2 + x +8
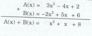
* Cách 2:
Sắp xếp các hạng tử đồng dạng của A(x) và B(x) ở cùng một cột rồi thực hiện phép cộng như sau:

Bài tập Thử tài bạn trang 74 trong Tài liệu dạy – học Toán 7 tập 2 thường tập trung vào việc vận dụng các kiến thức đã học trong chương để giải quyết các bài toán thực tế. Các dạng bài tập thường gặp bao gồm:
Để giúp các em học sinh hiểu rõ hơn về cách giải các bài tập trong Thử tài bạn trang 74, chúng tôi xin trình bày lời giải chi tiết cho từng bài tập:
Bài 1 yêu cầu tính giá trị của các biểu thức chứa số hữu tỉ. Để giải bài tập này, các em cần nắm vững các quy tắc về phép toán với số hữu tỉ, bao gồm:
Ví dụ: Tính \frac{1}{2} + \frac{2}{3}\
Lời giải: \frac{1}{2} + \frac{2}{3} = \frac{3}{6} + \frac{4}{6} = \frac{7}{6}\
Bài 2 yêu cầu so sánh các số hữu tỉ. Để giải bài tập này, các em có thể thực hiện các bước sau:
Ví dụ: So sánh \frac{1}{3}\ và \frac{2}{5}\
Lời giải: \frac{1}{3} = \frac{5}{15}\ và \frac{2}{5} = \frac{6}{15}\. Vì 5 < 6\ nên \frac{1}{3} < \frac{2}{5}\
Bài 3 yêu cầu tìm giá trị của x trong các phương trình chứa số hữu tỉ. Để giải bài tập này, các em cần áp dụng các quy tắc về giải phương trình, bao gồm:
Ví dụ: Giải phương trình x + \frac{1}{2} = \frac{3}{4}\
Lời giải: x = \frac{3}{4} - \frac{1}{2} = \frac{3}{4} - \frac{2}{4} = \frac{1}{4}\
Để học toán 7 hiệu quả, các em có thể tham khảo một số mẹo sau:
Hy vọng rằng với lời giải chi tiết và các mẹo học tập trên, các em học sinh sẽ tự tin hơn khi giải các bài tập trong Thử tài bạn trang 74 và các bài tập khác trong Tài liệu dạy – học Toán 7 tập 2. Chúc các em học tập tốt!