Chào mừng bạn đến với giaibaitoan.com, nơi cung cấp lời giải chi tiết và dễ hiểu cho các bài tập Toán 9. Trong bài viết này, chúng tôi sẽ cùng bạn khám phá và giải quyết các bài tập trong mục 3 trang 60 và 61 của Sách Giáo Khoa Toán 9 tập 1.
Mục tiêu của chúng tôi là giúp bạn hiểu rõ bản chất của từng bài toán, từ đó nâng cao khả năng tự giải quyết các bài tập tương tự trong tương lai.
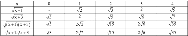
Hãy chép lại và hoàn thành Bảng 3.2. Em có nhận xét gì về giá trị của \(\sqrt {\left( {x + 1} \right)\left( {x + 3} \right)} \) và \(\sqrt {x + 1} .\sqrt {x + 3} \)?
Trả lời câu hỏi Vận dụng 1 trang 61 SGK Toán 9 Cùng khám phá
Một hình chữ nhật có chiều dài là \(\sqrt {\frac{a}{3}} \) mét và chiều rộng là \(\sqrt {\frac{a}{{12}}} \) (mét) \(\left( {a > 0} \right)\). Tính diện tích của hình chữ nhật theo a.
Phương pháp giải:
+ Với hai biểu thức A và B không âm, ta có: \(\sqrt {A.B} = \sqrt A .\sqrt B \).
+ Diện tích hình chữ nhật bằng chiều dài nhân chiều rộng.
Lời giải chi tiết:
Diện tích của hình chữ nhật là:
\(\sqrt {\frac{a}{3}} .\sqrt {\frac{a}{{12}}} = \sqrt {\frac{a}{3}.\frac{a}{{12}}} = \sqrt {\frac{{{a^2}}}{{36}}} = \sqrt {{{\left( {\frac{a}{6}} \right)}^2}} = \left| {\frac{a}{6}} \right| = \frac{a}{6}\) (do \(a > 0\) nên \(\frac{a}{6} > 0\)).
Trả lời câu hỏi Luyện tập 3 trang 61 SGK Toán 9 Cùng khám phá
Rút gọn các biểu thức sau:
a) \(\sqrt {36{x^8}{{\left( {2 - y} \right)}^2}} \) với \(y \ge 2\);
b) \(\sqrt {\frac{{7z}}{3}} .\sqrt {\frac{3}{{28z}}} \) với \(z > 0\).
Phương pháp giải:
Với hai biểu thức A và B không âm, ta có: \(\sqrt {A.B} = \sqrt A .\sqrt B \).
Lời giải chi tiết:
a) \(\sqrt {36{x^8}{{\left( {2 - y} \right)}^2}} \)\( = \sqrt {36} .\sqrt {{x^8}} .\sqrt {{{\left( {2 - y} \right)}^2}} \)\( = 6.\sqrt {{{\left( {{x^4}} \right)}^2}} .\left| {2 - y} \right|\)\( = 6{x^4}\left( {y - 2} \right)\) (vì \(y \ge 2\) nên \(2 - y \le 0\))
b) \(\sqrt {\frac{{7z}}{3}} .\sqrt {\frac{3}{{28z}}} \)\( = \sqrt {\frac{{7z}}{3}.\frac{3}{{28z}}} \)\( = \sqrt {\frac{1}{4}} \)\( = \sqrt {{{\left( {\frac{1}{2}} \right)}^2}} \)\( = \frac{1}{2}\).
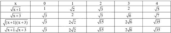
Trả lời câu hỏi Hoạt động 3 trang 60 SGK Toán 9 Cùng khám phá
Hãy chép lại và hoàn thành Bảng 3.2. Em có nhận xét gì về giá trị của \(\sqrt {\left( {x + 1} \right)\left( {x + 3} \right)} \) và \(\sqrt {x + 1} .\sqrt {x + 3} \)?

Phương pháp giải:
Thay từng giá trị của x vào các căn thức \(\sqrt {\left( {x + 1} \right)\left( {x + 3} \right)} \) và \(\sqrt {x + 1} .\sqrt {x + 3} \) để tính giá trị tương ứng, từ đó rút ra nhận xét.
Lời giải chi tiết:

Ta thấy: \(\sqrt {\left( {x + 1} \right)\left( {x + 3} \right)} = \sqrt {x + 1} .\sqrt {x + 3} \).
Trả lời câu hỏi Hoạt động 3 trang 60 SGK Toán 9 Cùng khám phá
Hãy chép lại và hoàn thành Bảng 3.2. Em có nhận xét gì về giá trị của \(\sqrt {\left( {x + 1} \right)\left( {x + 3} \right)} \) và \(\sqrt {x + 1} .\sqrt {x + 3} \)?

Phương pháp giải:
Thay từng giá trị của x vào các căn thức \(\sqrt {\left( {x + 1} \right)\left( {x + 3} \right)} \) và \(\sqrt {x + 1} .\sqrt {x + 3} \) để tính giá trị tương ứng, từ đó rút ra nhận xét.
Lời giải chi tiết:

Ta thấy: \(\sqrt {\left( {x + 1} \right)\left( {x + 3} \right)} = \sqrt {x + 1} .\sqrt {x + 3} \).
Trả lời câu hỏi Luyện tập 3 trang 61 SGK Toán 9 Cùng khám phá
Rút gọn các biểu thức sau:
a) \(\sqrt {36{x^8}{{\left( {2 - y} \right)}^2}} \) với \(y \ge 2\);
b) \(\sqrt {\frac{{7z}}{3}} .\sqrt {\frac{3}{{28z}}} \) với \(z > 0\).
Phương pháp giải:
Với hai biểu thức A và B không âm, ta có: \(\sqrt {A.B} = \sqrt A .\sqrt B \).
Lời giải chi tiết:
a) \(\sqrt {36{x^8}{{\left( {2 - y} \right)}^2}} \)\( = \sqrt {36} .\sqrt {{x^8}} .\sqrt {{{\left( {2 - y} \right)}^2}} \)\( = 6.\sqrt {{{\left( {{x^4}} \right)}^2}} .\left| {2 - y} \right|\)\( = 6{x^4}\left( {y - 2} \right)\) (vì \(y \ge 2\) nên \(2 - y \le 0\))
b) \(\sqrt {\frac{{7z}}{3}} .\sqrt {\frac{3}{{28z}}} \)\( = \sqrt {\frac{{7z}}{3}.\frac{3}{{28z}}} \)\( = \sqrt {\frac{1}{4}} \)\( = \sqrt {{{\left( {\frac{1}{2}} \right)}^2}} \)\( = \frac{1}{2}\).
Trả lời câu hỏi Vận dụng 1 trang 61 SGK Toán 9 Cùng khám phá
Một hình chữ nhật có chiều dài là \(\sqrt {\frac{a}{3}} \) mét và chiều rộng là \(\sqrt {\frac{a}{{12}}} \) (mét) \(\left( {a > 0} \right)\). Tính diện tích của hình chữ nhật theo a.
Phương pháp giải:
+ Với hai biểu thức A và B không âm, ta có: \(\sqrt {A.B} = \sqrt A .\sqrt B \).
+ Diện tích hình chữ nhật bằng chiều dài nhân chiều rộng.
Lời giải chi tiết:
Diện tích của hình chữ nhật là:
\(\sqrt {\frac{a}{3}} .\sqrt {\frac{a}{{12}}} = \sqrt {\frac{a}{3}.\frac{a}{{12}}} = \sqrt {\frac{{{a^2}}}{{36}}} = \sqrt {{{\left( {\frac{a}{6}} \right)}^2}} = \left| {\frac{a}{6}} \right| = \frac{a}{6}\) (do \(a > 0\) nên \(\frac{a}{6} > 0\)).
Mục 3 của SGK Toán 9 tập 1 thường tập trung vào các chủ đề như hàm số bậc nhất, đồ thị hàm số, và ứng dụng của hàm số trong giải quyết các bài toán thực tế. Việc nắm vững kiến thức trong mục này là nền tảng quan trọng để học tốt các phần tiếp theo của chương trình Toán 9.
Bài tập 1 thường yêu cầu học sinh xác định hệ số a của hàm số bậc nhất y = ax + b dựa vào các thông tin cho trước, chẳng hạn như đồ thị hàm số hoặc các điểm thuộc đồ thị. Để giải bài tập này, bạn cần nắm vững các khái niệm về hệ số góc, giao điểm với trục tung, và cách xác định hàm số bậc nhất khi biết các điểm thuộc đồ thị.
Bài tập 2 thường liên quan đến việc vẽ đồ thị hàm số bậc nhất. Để vẽ đồ thị, bạn cần xác định ít nhất hai điểm thuộc đồ thị, sau đó nối chúng lại bằng một đường thẳng. Lưu ý rằng đồ thị hàm số bậc nhất là một đường thẳng.
Bài tập 3 thường yêu cầu học sinh tìm giao điểm của hai đường thẳng. Để tìm giao điểm, bạn cần giải hệ phương trình bậc nhất hai ẩn, trong đó mỗi phương trình tương ứng với một đường thẳng. Giao điểm của hai đường thẳng là nghiệm của hệ phương trình.
Bài tập 4 thường là một bài toán ứng dụng, yêu cầu học sinh sử dụng kiến thức về hàm số bậc nhất để giải quyết một tình huống thực tế. Ví dụ, bài toán có thể liên quan đến việc tính quãng đường đi được của một vật chuyển động đều, hoặc tính tiền lương của một công nhân dựa vào số sản phẩm làm được.
Ví dụ: Cho hàm số y = 2x - 1. Hãy xác định hệ số a và vẽ đồ thị hàm số.
Giải:
Việc giải các bài tập trong mục 3 trang 60, 61 SGK Toán 9 tập 1 đòi hỏi bạn phải nắm vững kiến thức cơ bản về hàm số bậc nhất và rèn luyện kỹ năng giải toán thường xuyên. Hy vọng rằng với những hướng dẫn chi tiết và ví dụ minh họa trên, bạn sẽ tự tin hơn trong việc giải quyết các bài tập Toán 9.
| Công thức | Mô tả |
|---|---|
| y = ax + b | Hàm số bậc nhất |
| a | Hệ số góc |
| b | Giao điểm với trục tung |