Chào mừng bạn đến với giaibaitoan.com, nơi cung cấp lời giải chi tiết và dễ hiểu cho các bài tập Toán 8 tập 2 Kết nối tri thức. Chúng tôi hiểu rằng việc tự học đôi khi gặp khó khăn, đặc biệt là với những bài toán phức tạp.
Mục tiêu của chúng tôi là giúp bạn nắm vững kiến thức Toán học, tự tin giải quyết các bài tập và đạt kết quả tốt nhất trong học tập.
Tính:
Video hướng dẫn giải
Tính:
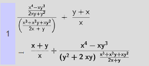
\(\frac{{{x^4} - x{y^3}}}{{2{\rm{x}}y + {y^2}}}:\frac{{{x^3} + {x^2}y + x{y^2}}}{{2{\rm{x}} + y}} + \frac{{y + x}}{x}\)
Phương pháp giải:
\(\frac{{{x^4} - x{y^3}}}{{2{\rm{x}}y + {y^2}}}:\frac{{{x^3} + {x^2}y + x{y^2}}}{{2{\rm{x}} + y}} + \frac{{y + x}}{x}\)
Lời giải chi tiết:
Ta nhập phép tính cần tính trên cửa số CAS ở phần mềm Geogebra. Khí đó mãy sẽ tự động rút gọn và cho ta kết quả:

Video hướng dẫn giải
Giải các phương trình sau:
a) \(4,8 - 2,5(x + 3) = x + 0,5(2 - 6{\rm{x}})\)
b) \(2\left( {x + \frac{4}{5}} \right) = 3 - \left( {\frac{7}{5} - 2{\rm{x}}} \right)\)
Phương pháp giải:
Ta dùng lệnh Slove(<Phương trình>) trên ô lệnh của của sổ CAS, kết quả sẽ hiện thị ngay bên dưới
Lời giải chi tiết:
Ta dùng lệnh Slove(<Phương trình>) trên ô lệnh của của sổ CAS, kết quả sẽ hiện thị ngay bên dưới:
a)

b)

Video hướng dẫn giải
Vẽ đồ thị hàm số các hàm số bậc nhất sau:
a) \(y = - 3{\rm{x}} + 3\)
b) \(y = \frac{1}{2}x - 4\)
Phương pháp giải:
Nhập hàm số cần vẽ trên ô lệnh, màn hình sẽ hiện thị đồ thị của hàm số
Lời giải chi tiết:
a) Nhập hàm số \(y = - 3{\rm{x}} + 3\) trên ô lệnh, màn hình sẽ hiện thị đồ thị của hàm số

b) Nhập hàm số \(y = \frac{1}{2}x - 4\) trên ô lệnh, màn hình sẽ hiện thị đồ thị của hàm số

Video hướng dẫn giải
Tính:
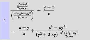
\(\frac{{{x^4} - x{y^3}}}{{2{\rm{x}}y + {y^2}}}:\frac{{{x^3} + {x^2}y + x{y^2}}}{{2{\rm{x}} + y}} + \frac{{y + x}}{x}\)
Phương pháp giải:
\(\frac{{{x^4} - x{y^3}}}{{2{\rm{x}}y + {y^2}}}:\frac{{{x^3} + {x^2}y + x{y^2}}}{{2{\rm{x}} + y}} + \frac{{y + x}}{x}\)
Lời giải chi tiết:
Ta nhập phép tính cần tính trên cửa số CAS ở phần mềm Geogebra. Khí đó mãy sẽ tự động rút gọn và cho ta kết quả:

Video hướng dẫn giải
Giải các phương trình sau:
a) \(4,8 - 2,5(x + 3) = x + 0,5(2 - 6{\rm{x}})\)
b) \(2\left( {x + \frac{4}{5}} \right) = 3 - \left( {\frac{7}{5} - 2{\rm{x}}} \right)\)
Phương pháp giải:
Ta dùng lệnh Slove(<Phương trình>) trên ô lệnh của của sổ CAS, kết quả sẽ hiện thị ngay bên dưới
Lời giải chi tiết:
Ta dùng lệnh Slove(<Phương trình>) trên ô lệnh của của sổ CAS, kết quả sẽ hiện thị ngay bên dưới:
a)

b)

Video hướng dẫn giải
Vẽ đồ thị hàm số các hàm số bậc nhất sau:
a) \(y = - 3{\rm{x}} + 3\)
b) \(y = \frac{1}{2}x - 4\)
Phương pháp giải:
Nhập hàm số cần vẽ trên ô lệnh, màn hình sẽ hiện thị đồ thị của hàm số
Lời giải chi tiết:
a) Nhập hàm số \(y = - 3{\rm{x}} + 3\) trên ô lệnh, màn hình sẽ hiện thị đồ thị của hàm số

b) Nhập hàm số \(y = \frac{1}{2}x - 4\) trên ô lệnh, màn hình sẽ hiện thị đồ thị của hàm số

Trang 132 SGK Toán 8 tập 2 Kết nối tri thức chứa các bài tập thuộc chương trình học về hình học, cụ thể là các kiến thức liên quan đến tứ giác. Các bài tập này thường yêu cầu học sinh vận dụng các định lý, tính chất đã học để chứng minh, tính toán và giải quyết các vấn đề thực tế.
Trang 132 bao gồm các bài tập từ 8.1 đến 8.6. Mỗi bài tập tập trung vào một khía cạnh khác nhau của kiến thức về tứ giác:
Để giải tốt các bài tập về tứ giác, học sinh cần nắm vững các kiến thức sau:
Ngoài ra, học sinh cũng cần rèn luyện kỹ năng vẽ hình chính xác và trình bày lời giải một cách logic, rõ ràng.
Dưới đây là lời giải chi tiết cho từng bài tập trang 132 SGK Toán 8 tập 2 Kết nối tri thức:
Đề bài: (Ví dụ) Điền vào chỗ trống: Một tứ giác có bốn cạnh bằng nhau là hình ...
Lời giải: Một tứ giác có bốn cạnh bằng nhau là hình thoi.
Đề bài: (Ví dụ) Cho hình bình hành ABCD. Biết góc A = 60 độ. Tính số đo các góc còn lại.
Lời giải:
Trong hình bình hành ABCD, ta có:
Vậy:
Đề bài: (Ví dụ) Cho tứ giác ABCD có AB // CD và AB = CD. Chứng minh ABCD là hình bình hành.
Lời giải:
Xét tứ giác ABCD có:
Suy ra ABCD là hình bình hành (dấu hiệu nhận biết hình bình hành).
(Lời giải chi tiết cho các bài tập còn lại sẽ được trình bày tương tự như các bài trên)
Hy vọng với lời giải chi tiết và phương pháp giải bài tập hiệu quả trên, bạn sẽ tự tin hơn khi giải các bài tập trang 132 SGK Toán 8 tập 2 Kết nối tri thức. Chúc bạn học tập tốt!